Wave-Wave Interactions: Fourier Analysis: Non-Periodic Functions

 

What about frequency components in a function that is not periodic?

  If a function S(t) is not periodic, the Fourier components that make up that function no longer need to repeat after some characteristic time. As a results, we can have a continuous range of frequencies that make up the function S(t) and the discrete Fourier sum that we used for periodic functions on the previous page now becomes a continuous integral. The Fourier components now have a continuous range of frequencies ω=2π f, so we can no longer use the discrete index n to label each component's amplitude, frequency, and phase as we did for periodic functions in the last page. Now the amplitudes and phases are functions of the continuous frequency variable ω.

  Before going to a strictly continuous range of frequency components, let's begin with a periodic function S(t) with a period τ with discrete frequencies. Imagine that the function S(t) is made up of many arbitrarily closely spaced frequency components, each separated by dω. One can reach the continuous range of frequency components by letting the period τ aproach infinity. Since the Fourier components must repeat after this long period and their frequencies are given by ωn=n×2 π/τ, the spacing between neighboring frequencies is dω=2π/τ and goes to zero as τ goes to infinity.

  Let's take a look at S(t) at one moment in time when t=tc. Each frequency is now given by ωn= n dω. As dω approaches zero, the series of amplitudes An (bars in the graph below) and phases φn become smooth functions A(ω) and φ(ω), respectively. You will see in a moment why we divided A(ω) by the constant dω in the graph below.

 

  In the equation below we show the discrete Fourier sum for S(t) before letting τ approach infinity.

 

  If we multiply the right hand side of the equation above by dω/dω and let dω approach zero (which occurs when τ approaches infinity), the sum becomes an integral, as shown below:

 

where A'(ω)=A(ω)/dω can be thought of as an amplitude density, i.e, the amount of amplitude within the frequency range between ω and ω+dω. The equation above holds for any time t, so we can replace tc with the variable t. Therefore, we see that if we have a continuous distribution of frequency components with amplitudes given by A(ω), S(t) at any given time is simply proportional to the area under the curve A(ω)sin(ωt+ φ(ω)) at that same time.

  The orthogonality relations that we used for periodic functions still hold, except now ω and ωref are continuous variables:

 

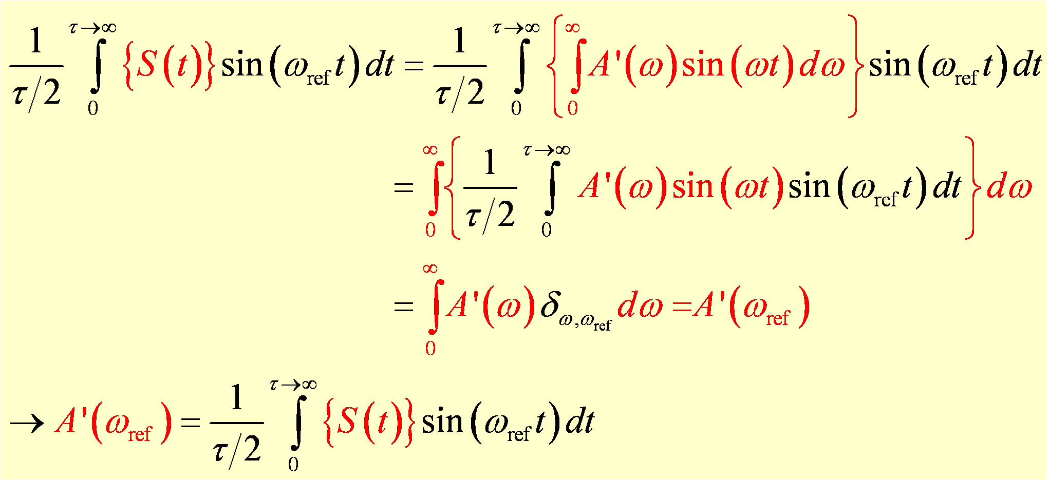
Just as with periodic functions, we can use the orthogonality of Fourier components to determine the amplitudes for the continuous set of components that contribute to a non-periodic function. In this case however, instead of getting a series of discrete amplitudes An, we obtain a continuous amplitude function A'(ω). In order to determine the amplitude of the component at a reference frequency ωref contained in S(t), we multiply S(t) by the sin( ωreft) and integrate the product over time. As with the case for periodic functions, the components in S(t) that are not at frequency ωref will integrate to zero. Note that in this case, one integrates over time before integrating over frequency. The time integration produces a Kronecker delta function which picks out the value of A' at ωref when integrating over all positive frequencies.

 

 

  Here is a Fourier analysis java applet that lets you find sinusoidal wave components in a function. Here we allow a more continuous spectrum of components, where the reference components are not harmonics of a common lowest frequency, e.g., do not go to zero at right side of the graph as S(t) does. Although the signal function in this case is periodic, we can use continuous Fourier analysis on any function within a given range.